利用常规检测仪器测定电池充放电产热存在热滞后效应,无法真实反映电池的瞬态生热特性。本文利用等温量热仪探究了电池厚度、导热附件厚度和实验温度三类因素对于热滞后的影响,同时根据非稳态热传导方程提出了一种热滞后修正方法。
前言
研究锂离子电池充放电过程的热效应对于电池热管理系统设计、提高电池性能及安全性具有十分重要的意义。电池等温量热仪是测试不同工况下锂电池单体充放电产热特性的主要测试仪器。该仪器基于功率补偿等温量热原理,通过反馈控制电加热元件使得充放电过程中电池温度保持恒定,从而根据加热元件的焦耳热功率变化对电池热效应进行等效。
图1 等温量热仪(a)整机和(b)测试腔体结构图
根据检测原理,利用等温量热仪可以准确测定电池产热量,但对于产热功率的测量不可避免地存在一定的热滞后效应。一方面,锂电池产热主要来自于卷芯,卷芯至电池表面的传热路径上存在明显的热阻,同时电池自身的热容相对较大;另一方面,为降低电池与恒温热沉间的接触热阻,并提高温度均匀性,测试前电池两侧需组装多层导热介质,包括石墨垫片、硅胶垫和匀热块(见图1)。但即便如此,各部件间的热阻仍然不可忽略。可以认为,电池产热功率测量涉及一个有时变内热源的非稳态传热过程,该过程的弛豫现象导致测量结果无法直接等效于电池的瞬态产热功率。除等温量热仪外,电池绝热、微量热仪等可用于测定电池热效应的仪器普遍存在热滞后问题。
为了初步辨析影响热滞后性的主要因素,本文研究了电池厚度、导热硅胶垫厚度和实验温度三类因素对等温量热仪测量结果的影响。同时,在文末提出了一种对热滞后效应进行修正的简易方法。
实验部分
1. 样品准备电池#1:磷酸铁锂方形电池
(L173mm*W111mm*H20mm,40Ah,100%SOC)
电池#2:磷酸铁锂方形电池
(L148mm*W102mm*H80mm,135Ah,100%SOC)
电池#3:磷酸铁锂软包电池
(L141mm*W137mm*H20mm,40Ah,100%SOC)
2. 实验条件
实验仪器:杭州仰仪科技BIC-400A等温量热仪、充放电测试仪
工作模式:功率补偿等温模式
样品温度:25℃
充放电方式:1C恒流放电
结果讨论
1.电池厚度影响
由于厚度不同的电池在容量上难以一致,因此本文选用两款容量不同、大面面积相似、而厚度分别为20mm和80mm的磷酸铁锂电池(#1和#2),进行1C恒流放电实验。理论上放电过程中电池内阻随SOC下降而单调递增,所以放电结束时刻电池产热功率应达到最大值。但等温量热仪测量存在的热滞后效应导致放电结束后热功率曲线需要经过一定时间才能衰减为零。此处定义放电结束后功率从峰值衰减至峰值1/e的时间τ为热滞后时间常数。τ的大小与电池至加热片之间非稳态传热的时间常数相关。如图2所示,对于厚度为80mm的#2电池,τ₁=1134,明显大于#1电池的计算结果(τ₂=218),说明电池厚度增加会显著影响电池产热测量的动态响应,这可能是由于电池热容和内部热阻都与厚度正相关。

图2 不同厚度LPF电池1C恒流放电产热功率曲线
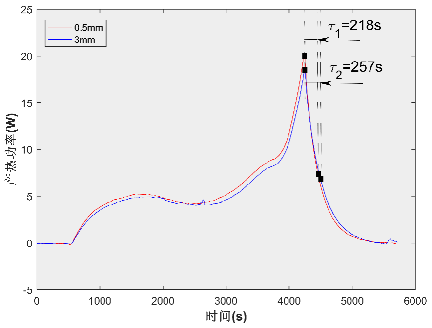
导热硅胶垫通过形变填充电池与匀热块之间可能存在的空气隙。本文选用0.5mm及3mm两种不同厚度的垫片,搭配#1电池进行实验。如图3所示,可以发现垫片厚度对热滞后效应有一定贡献,两次实验热滞后时间常数τ的差异在20%左右,说明硅胶垫的热阻与热容的影响同样不可忽视。

图3 不同厚度的硅胶垫条件下电池#1恒流1C放电产热功率曲线
3. 不同工作温度影响

图4 不同温度条件下电池#3恒流1C放电产热功率曲线
不同工作温度下电池产热特性存在差异。如图4,在45℃条件下#3电池产热功率略小于25℃下的结果,但两者的热滞后时间常数基本一致。可以初步认为温度与热滞后没有明显关联性,这可能是由于温度小幅度变化对系统传热特性几乎没有影响。
4.热滞后修正
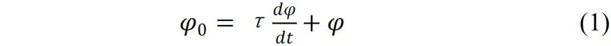
根据上文的结果,热滞后问题在实际测量中难以完全消除。为了能够反映电池真实的瞬态产热过程,需要对仪器测定的热功率曲线进行修正。本文通过推导系统非稳态传热方程得到简化后的一阶校准公式,如下所示:
修正前后的产热功率曲线如图5所示,可以发现修正后的曲线几乎消除了放电结束后的功率衰减时间,能够更好地反映电池瞬态产热特性。

图5 热滞后修正前后电池放电产热功率曲线
实验结论
实验结果表明电池厚度对电池产热功率测量热滞后效应的贡献最大,导热附件也具有明显影响,而实验温度的影响则较小。同时,基于动态传热方程可以对热滞后进行修正,修正结果接近电池瞬态生热特性,更有利于锂电池产热机理研究。

